What happened in France. In January 1993 I was fired by the Department of Essonne (CG91), a local administration near Paris, and threatened to have problems for the rest of my life if I did not accept my dismissal without an appropriate compensation (2.). I consulted a lawyer who encouraged me to file a lawsuit (of course), and said that I had 5 years to sue the Department (this issue of the time to file a lawsuit is more complex than this as you will see below). And I contacted the union (for my worker’s category), but they refused to help me and discouraged me to sue, so I decided to first look for a new job and wait to sue that I can defend my case better in Court (to try to understand what happened, to demonstrate my competences…). [It was a difficult or awkward situation because the Department that fired me was also paying me the unemployment benefits or salaries!]. I rapidly understood though that the threats I received were real because I had great difficulties to find a job, …, so I followed as precisely as possible the recommendations of the unemployment agency concerning my job search [analyzed my qualification and interest, started working on an unemployment project (see Proposals page), and, of course, sent many job applications,]. I also made a lot of research on the various organizations and companies that could be interested by my project (IOs, pharmaceutical industry, news agencies,) and eventually obtained a temporary job at Reuters in Germany in September 1994 more than a year and 4 months after my dismissal.
| Administrative complaint VS Department of Essonne |
| 1. Work Contract at the Department of Essonne 4-22-91 (JPG-F) ,
(2.),
(3.),
(4.) |
| 2. Dismissal decision and letter 1-18-93 (PDF-F), Letter dated 2-8-94 stating an incorrect taxable amount for 93 with my response (JPG-F), (p2), (p3) |
| 3. Letter of complaint dated 1-17-98 (PDF-F) |
| 4. CG91 Opposition Brief 3-18-98 (JPG-F),
(p2),
(p3),
(p4),
(p5),
(p6),
(p7) |
| 5. Supplemental Brief dated April 8 1998 (HTM-F) |
| 6. Supplemental Brief dated June 1998 (HTM-F) |
| 7. Supervisors Work Evaluation (JPG-F),
(p2),
(p3) |
| 8. Newspaper Articles on the Frauds at the Department of Essonne (JPG-F),
(p2),
(p3),
(p4),
(p5),
(p6),
(p7) |
| 9. ’Tribunal Administratif de Versailles’ Decision dated 10-8-98 (JPG-F),
(p2),
(p3),
(p4),
(p5),
(p6),
(p7),
(p8) |
| 10. 1998 Report of the 'Cours des Comptes'on the Frauds in Essonne (link) |
| Administrative Appeal Court Proceeding |
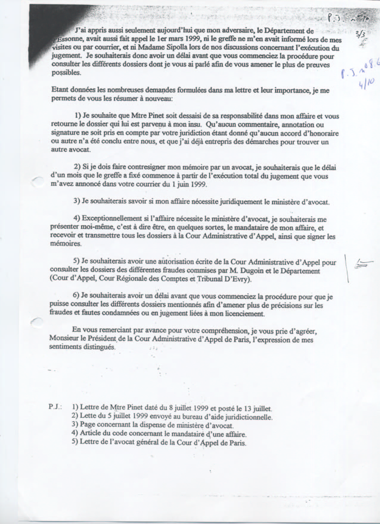
| 12. My Appeal Brief 2-25-99 (JPG-F),
(p2),
(p3),
(p4),
(p5),
(p6), in HTM format (HTM-F) |
| 13. CG91 Appeal Brief 2-22-99 (JPG-F),
(p2),
(p3),
(p4),
(p5),
(p6),
(p7),
(p8),
(p9),
(p10),
(p11),
(p12),
(p13),
(p14) |
| 14. Department's President Authorization to Defend the Appeal (PDF-F) |
| 15. My Supplemental brief 8-20-99 (HTM-F), Appeal’s Court Request to Present the President’s Authorization to Appeal (PDF-F) |
| 16. CG91 ‘Defense and Replique’ Brief 10-28-99 (JPG-F),
(p2),
(p3),
(p4),
(p5),
(p6),
(p7),
(p8),
(p9),
(p10),
(p11) |
| 17. My 2nd Supplemental Brief 11-10-99 (HTM-F) |
| 18. CG91 Final Brief 2-1-00 (JPG-F),
(p2),
(p3),
(p4) |
| 19. My Final Brief 2-6-00 (HTM-F) |
| 20. First hearing appointment 2-10-00 (PDF-F) |
| 21. Department's President Authorization to Appeal (PDF-F) |
| 22. Cancellation of hearing (PDF-F) |
| 23. Appeal Court's Decision 5-25-00 (JPG-F),
(p2),
(p3),
(p4),
(p5),
(p6),
(p7),
(p8),
(p9),
(p10),
(p11),
(p12),
(p13),
(p14),
(p15) |
| Compliance Related Documents |
| 23. My Compliance Request 3-3-99 (JPG-F), (p2), (p3), (p4) |
| 24. Appeal Court’s Response 3-18-99 (JPG-F),
(p2),
(p3),
(p4) |
| 25. My Compliance Letter of 3-23-99 (PDF-F) , and of 6-3-99 (JPG-F), (p2), (p3) |
| 26. Appeal Court’s Letter 5-11-99 (JPG-F),
(p2),
(p3) |
| 27. CG91 Responses 5-19-99 and 6-17-99 (JPG-F),
(p2),
(p3),
(p4),
(p5),
(p6),
(p7) |
| 28. Appeal Court’s Letter 7-9-99 (PDF-F) |
| 29. CG91 Response of 7-28-99 (JPG-F),
(p2),
(p3) |
| 30. My Compliance Letter 8-30-99 (HTM-F) |
| 32. Appeal Court’s Letter 9-7-99 (PDF-F) |
| 31. My Letter requesting the opening of a compliance proceeding dated 9-10-99 (HTM-F) |
| 32. Appeal Court’s Letter opening a compliance proceeding on 9-15-99 (JPG-F),
(p2),
(p3),
(p4),
(p5) |
| 35. CG91 Response 10-28-99 (JPG-F),
(p2),
(p3),
(p4),
(p5),
(p6) |
| 34. My response to the CG91 brief on compliance dated 11-10-99 (HTM-F) |
34. Letter on compliance dated 12-16-99 (HTM-F) |
| 36. ’Code du Travail’ Article L. 122-1-2 concerning my Work Contract (PDF-F) |
| Legal Aid Related Documents |
| 38. Grant of 55% Legal Aid 6-1-99 (PDF-F) |
| 39. My Letters on legal Aid (to the Court, Lawyer, and Lawyer Association) (JPG-F), (p2), (p3), (p4), (p5), (p6) |
| 40. Other Letters (JPG-F) |
| 41. Lawyer Association’s Letters (JPG-F), (p2), (p3), (p4) |
| 42. Appeal Court’s Orders to Present a Lawyer (JPG-F),
(p2),
(p30 |
| 43. Reply to Court order to present a lawyer dated 10-27-99 (HTM-F) |
| 44. Second Reply to Court order to present a lawyer dated 11-20-99 (PDF-F) |
| Conseil d'Etat proceeding |
| 46. ’Conseil d’Etat’ Petition filed on 7-10-00 (JPG-F),
(p2),
(p3),
(p4),
(p5),
(p6),
(p7),
(p8),
(p9),
(p10),
(p11),
(p12) |
| 47. Conseil d'Etat Decision 03-29-01(JPG-F),
(p2),
(p3),
(p4),
(p5) |
My contract at Reuters was renewed several times, and according to the law I should have obtained a permanent job (after the third renewal), but I did not (!), and had to return in France in 1996 after my 5th and last contract. In France, my difficulties started again, but at the same time the Press and Media started talking about the frauds at the Department of Essonne [
(8.),
(p2),
(p3),
(p4),
(p5),
(p6),
(p7)], so I began to understand why I was fired. The President of the administration (and others) was stealing travel expenses money (among other frauds), and when they fired me, I was developing a system to control the travel expenses for the Department employees! The system I was developing (and that was ready to be implemented when I was fired) would have prevented the fraud because it gave the possibility to print out detailed travel expenses statistics by service and by employee. The Department also started paying the wife of its President for no work at exactly the same time I left in April 93!
In January 1998, I filed a letter of complaint for illegal dismissal (after I had exhausted all my unemployment benefits and less than 5 years after the dismissal as I was told) and asked for the payment of one year of salaries plus interest as damage (3.) (the damage I had suffered was higher than this, but I did not have the legal knowledge to justify the entire damage I lost). I sued the administration as the last resort, the damage I had suffered was obvious, and the wrongdoings at the administration had been publicly denounced. Moreover, I had also submitted my ‘unemployment project’ in the European program, and it had started receiving good evaluations from experts, so I had demonstrated my competences and the seriousness of my work in some way despite my long unemployment period.
The Administrative Proceeding and the Appeal. The first proceeding lasted from January 1998 to about October 8 1998 when the judgment was read. The Department argued [
(4.),
(p2),
(p3),
(p4),
(p5),
(p6),
(p7)] (a) that I had not filed an administrative claim before I filed my complaint (but the judge gave me the chance to do so before the judgment and I did so); (b) that it had reorganized its data processing department and decreased its number of computer project leaders,
but I was able to file a copy of the 2 yearly reports from 92 ad 93 that showed that they added one project leader instead of decreasing the number of them(!) (5.); and (c) that the dismissal was done according to the law, but it did not and could not explain why it fired me [a ‘conscientious employee’, see
Supervisors Work Evaluation,
(p2),
(p3)] at the same time he hired the Administration President’s wife (and started paying her at a higher salary than mine)
for no work, or explain why I was fired supposedly for the service interest while at the same time I was developing a computer system that could have prevented the grave frauds on the travel expense that were taking place!
After the criminal court rendered its judgment on the frauds of the President and his wife in May 1998, I also filed a supplemental brief to ask the court to grant me an additional $25 000 to cover my responsibility on this travel expenses fraud
(6.). The court eventually found that the dismissal was illegal, and asked the Department to pay me a compensation (the amount of money I had asked for minus the interest because the Court is not allowed to grant interest from the date of the illegal dismissal - it makes sense since it can grant all the salaries lost in case of illegal dismissal), but they did not order my re-integration in the administration – I had not asked for it because I did not know I could [see
(9.),
(p2),
(p3),
(p4),
(p5),
(p6),
(p7),
(p8)]. The judgment was clearly written, but the amount of money granted had to be calculated with a formula given by the court, and (according to the law) it could not be lower than the prejudice I suffered after the guilt had been proven. I will ‘talk’ about the compliance issues below because the Department and the Appeal Court cheated to steal me the judgment. It was obvious that the amount due by the administration was the FF 435 000 (about $80 000), but the Department refused to pay before the time to appeal ended (February 1999), and then made 3 payments over a 9 months period adding up to $20 000 only.
In January 1999, the ‘Court des Comptes’ (COURT OF ACCOUNTS), the agency that controls the work of administration in France listed the Department of Essonne’s various frauds in its annual report and mentioned that the administration lost 100s of millions of francs
(see http://www.ccomptes.fr/FramePrinc/frame-rapports.htm, choose 'Publications:' 'liste des rapports', 'Rapports publics annuels 1998'). This new official publication on the frauds created me an even greater prejudice because I had absolutely nothing to do with these frauds, on the contrary, I was working to prevent one of them – the fraud on the travel expenses that allowed the administration President to unfairly increase his yearly salary by about FF220 000 ($40 000 about). The refusal to pay the judgment immediately also created me a greater prejudice because I was living in very difficult condition, was still having a lot of difficulties to find a job, and the amount of money I was granted would have helped me to justify that I had no responsibility in the frauds and that my dismissal was not for a professional wrongdoing (I could not hide on my resume that I worked at the Department of Essonne!). So I had to file an appeal to explain this new prejudice to the court and to ask for an additional compensation (about FF200 000, or $40 000), and did so in February 1999 [see
(12.)]. The Department also filed an appeal, but for wrong motivations I believe.
There were 4 critical ‘issues’ (or groups of issues) in this appeal:
(a) The lawsuit’s timing issues (criminal wrongdoings of the administration president were judged at the same time, the starting point or date for the statute of limitation, the Department’s motivation to appeal );
(b) the President authorization to appeal issues (it was presented after the hearing although no document should be accepted after the hearing, with no appropriate motivation,);
(c) the compliance issues (length of my contract, it was of indefinite length, the formula given in the judgment, impact on the type of appeal and the obligation to present a lawyer); and
(d) the obligation to have a lawyer and the unfair legal aid issues (the appeal’s type of proceeding, the paid lawyer not considered by the Court,).
The Lawsuit’s Timing issues (Related Criminal Proceeding, Statute of Limitation, Department’s Motivation to Appeal). The criminal court had found that both the President and his wife were guilty in the frauds of the travel expenses and of the salaries received without work in May 1998, and I had mentioned it in the initial proceeding as soon as the criminal judgment had been rendered
(6.) as seen above (it was therefore obvious that I was the first victim of the criminal frauds and that the Administrative Court had recognized it in some way in granting me a compensation). The Department that defended the interest of the people
and of the employees victim of the President’s frauds should have defended my case during the criminal appeal proceeding against the former President or at least explained to the criminal court that I had received a judgment in my favor for an illegal dismissal related to the (travel expenses,) frauds they were judging. Not only the Department did not mention this new development in the appeal of the criminal case, but it gave up the appeal against the Former Department President’s wife who had been found guilty of getting paid for no work, but had not been asked to return her stolen salaries! [The Department was civil part in the criminal case, but the former President had not authorized the suit against his wife (of course!), so although the President wife was found guilty, she was not asked by the Court to return the salaries she had stolen because the Department had not furnished an authorization to sue!]
The new President (
a new administration President was elected in March 1998 during the criminal and administrative proceedings) and his staff had absolutely no way of knowing for sure that the former president had not dismissed me deliberately to facilitate or cover his fraud on the travel expenses
unless it raised this issue at the Criminal Court, so they could not appeal or should never have appealed my judgment to criticize a pretended technical error of the administrative court
without mentioning the administrative court judgment at the criminal court. Why should the administration spend (public money) to correct a pretended technical error of an administrative court when at the same time it knows for sure that it was wrong on the merit of the case (it cannot be right for an administration to fire someone when at the same time it started paying someone else for no work), and when it does
not spend public money to raise the issue of my illegal dismissal and to correct its own error in the criminal case? Moreover, when it did not present the administrative court judgment on my dismissal, it hide the additional responsibilities of the former president and his wife in the financial cost of their frauds because again the former President had already be found guilty for the two frauds
related to my dismissal! [And at the time, they had no honest way of knowing that the Appeal Court would rule in their favor.]
The new President had criticized his predecessor for his frauds a lot to be elected, but obviously he agreed with him when it came to firing a conscientious employees and
covering up the real cost of the frauds, so he let the Department argued that the lawsuit was not timely because the statute of limitation had ran out, for example. The Administrative Court had found that the complaint was timely when filed on 1-17-98 less than 5 years after the dismissal (1-18-93), but the statute limitation is not exactly 5 years after an illegal decision, it is 4 years starting January 1st of the following year (so according to this rule the statute of limitation ended on 12-31-97 and the complaint was 17 days late). This rule, however, has several exceptions; for example, the statute of limitation does not start until the victim learns about the illegality of the administrative decision that injured him/her. In this case since the frauds were made public in 97 only, the statute of limitation did not start running before 1-1-98 and ended in 12-31-2001 because I could not know the reasons of my dismissal earlier or know about the illegality of the decision earlier, so my complaint was timely.

There is also another exception to the limitation rule when the administration issues
another illegal decision that is related to the illegality of the initial decision (after the initial decision was rendered). Then the 4 years limit starts on the first of January of the year after this new decision was taken [this is called in French ‘l’exception d’illegalite’, I believe]. In my case, on February 8 94, the administration sent me a
letter ,
[(p2),
(p3)] stating an incorrect amount of my revenue for 1993 (or an incorrect taxable amount of revenues to be presented to the IRS). It deliberately did not include my unemployment salaries in my 1993 revenues, which was a fraud (and extended the statute of limitation to criticize the first decision by one year to 12-31-98, so my complaint was timely. This is the rule that the ‘Tribunal Administratif of
Versailles’ used to find my complaint timely, I believe). The administration (Department) knew that they had fired me illegally, and pretended that the unemployment salaries were paid as
a compensation or indemnity for the dismissal (that are not taxable) to lower the amount of tax I should pay and compensate me further (perhaps), but it was still unfair.
I immediately wrote to them to point out the problem, but they did not respond.
The IRS (tax administration) noticed this error also, of course, and asked me to include the unemployment salaries to my income tax form. I went to see them and explained that I had been unfairly fired and that I had contacted the administration about the problem, but that it had not corrected its mistake, and therefore that it was unfair to make me pay for the repeated errors of the administration! They agreed with me, but I strongly suspect that they also made an inquiry to find out the reasons of my dismissal and found out that I had been fired to cover up the frauds on the travel expenses
because soon after - in June 94, I believe- an anonymous letter was sent to the justice to denounce the fraud on the travel expenses [see articles on frauds
(8.),
(p2),
(p3),
(p4),
(p5),
(p6),
(p7)]; and the investigation of this anonymous letter lead to the criminal proceeding that was going on in 98 when I filed my complaint! [The ‘IRS’ knows well all the methods that are used to avoid paying taxes, and here the President of the administration was increasing his salaries by about $40 000 a year without paying taxes on this additional revenue, so it was not difficult for the IRS to understand the ground of my dismissal!]
To conclude this section, my complaint was timely (because of the ‘exception d’illegalite’), and because of the related criminal proceeding going on at the same time, the Department had no honest motivation to appeal the judgment and the timeliness of my complaint was even more appropriate (especially when you know that the Department was paying my unemployment salaries or benefits until 1-17-98 date of my complaint; if they can fire me illegally, they can also end my unemployment benefits illegally)! The new President was extremely dishonest of course, and he and the Department knew they were dishonest as we can see below in the way they complied with the first judgment and they presented the authorization to appeal.
The Compliance Issues (contract length, implication on the obligation to present a lawyer). The judgment [(9.),
(p2),
(p3),
(p4),
(p5),
(p6),
(p7),
(p8)] mentioned that I was hired on a contract
whose length was superior to 1 year, but it did not give a time limit for this contract. There were two periods written on the contract [(2.),
(p2.),
(p3.),
(p4.)]: (a) ‘superior to 1 year’ and (b) ‘3 years’; and the Administrative Court chose the indefinite length because although the contract appeared to be a 3 years contract, the law considered it as a contract with an
undetermined length [see
‘code du travail L122.1’] (in fact all my colleagues, many of which had the same contract as I, were still working at the Department in 98 when I sued). The Department knew this, of course, and the justice also, especially after I had reminded them of art L122-1-2 (I did not know it before the Tribunal Administrative of Versailles rendered its judgment on 10-8-98). These contracts were issued mostly for technical jobs for which the administration could not hire civil servants through standard examination system, but it would have been unfair not to give these technical staffs the same job protection than their colleagues (hired for an indefinite period of time) when they were hired to render a service that was not available through the normal hiring process, so they issued contracts with a term, and added a joint possibility to end the contract that made them unlimited term contract! [I also heard that these contracts were illegal and that the government – ‘Prefecture’ – regularly sued the Department for these types of contracts!] In its judgment the court asked the Department to pay me my salaries (
as if I had stayed in my job without time limitation) minus the benefits and salaries I had received
with for limit the amount of money I had asked in my lawsuit.
Although I had not explained in my complaint letter that my contract was an unlimited term contract,
the court could not ignored it, so it wrote its judgment in a way that was conformed to the existing law while at the time making sure that I do not receive more money than the amount I had asked for (its judgment mentions a
money limit, not a
time limit in the calculation formula). In theory, I was also entitled to a reintegration, meaning I could have gotten my old job back, but I had not asked for it and after 5 years it could have been difficult for the administration; and I was entitled to my retirement pension payment
because it goes with the salaries the Department was ordered to pay me. But the Department acted completely stupid and pretended that it did not understand the way the judgment was written - it pretended that there were a time limit written on the judgment, which again is incorrect (there is only a money limit in the formula), you can read the judgment yourself
[(9.),
(p2),
(p3),
(p4),
(p5),
(p6),
(p7),
(p8)], and paid only 9 months of salaries minus the unemployment benefits I had received during these first 9 months! The way they ‘executed’ the judgment or complied with the judgment was completely absurd because the unemployment benefits are a ‘right’; it makes sense to subtract these unemployment benefits
only if it is to reconstitute my right for these benefits.
It is obvious that if I had not been illegally fired, I would never have received the unemployment benefits, and therefore I would still have had the right to the unemployment benefits in 98 when the court rendered its judgment!
I complained to the Appeal Court Presiding Judge who usually handles this kind of matter, and he wrote to the Department and the Prefecture to make sure the judgment would be executed properly [see
(24.),
(p2),
(p3),
(p4)], but the department still refused to comply properly. They only paid an additional 3 months of salaries after the Presiding Judge told the Department to consider my contract as a 3 years contract,
which again made absolutely no sense and was not coherent with what was written in the judgment. Of course, he ignored my arguments on the subject and did not justify his decision [see
(28.)], so I asked him to open a special legal proceeding to address this issue [see
(31.)]. I also
asked the Appeal Court to address this important issue before the judgment on the appeal was rendered because the meaning of the first judgment was very important [to (a) determine the nature of the Appeal – I did not ask the Appeal Court to change the decision, I only asked for an additional amount of money, so my appeal did not require to have a lawyer, see explanation below; and to (b) compute the compensation - the Department and
the Appeal Court were stealing me $60 000 at least, money that I should have had to defend my case or pay for a lawyer for example]. The special proceeding was opened by the Court, but the Department and its lawyer (that knew they were wrong) never responded to my arguments on the length of the contract and the ‘Code du Travail’ article L122-1-2, and on the judgment formula, and this special proceeding was never judged, of course, because they knew (the Appeal Court, the Department and its lawyer) that they were cheating (that the way they complied with the judgment was completely incoherent).
The Department President Authorization to Appeal Issues. When the Department filed its cross appeal (in February 1999), it did not have yet the (President and Board’s) authorization to interject appeal
(21.) (which is, to me, a fraud in itself). It only had the authorization to defend the case from the previous proceeding (it filed again this authorization to defend after 9 months because they still did not have the correct authorization to appeal, I believe)
(14.). I pointed out to the Court that the Department did not have the appropriate authorization (from its President and board) to interject appeal and the Court reminded the Department [see Appeal Court letter
(12.1)], but they still did not furnish this authorization
until after the hearing of February 10 2000 took place (one year after they appealed the decision – you will note that the decision to authorize the appeal was taken in a 2-14-00 meeting, and took effect on the 2-17-00, on my birthday!), and although they knew that no document can be accepted after the hearing took place. If they really had thought that their appeal was justified and they were defending the people interest,
they would have (or at least should have) furnished this authorization before the hearing date (to make sure it was accepted by the Court).
Instead they perfectly knew that the first judgment was justified, and that it was very unfair to try to reverse it (given the criminal proceeding that was going on at the same time on the travel expenses frauds and the President wife undeserved salaries), so they waited to file the authorization to appeal after the hearing to cover their responsibility in some way in the stealing of my first judgment (they ‘washed their hand’) and let the Appeal Court decide if the judgment should be reversed (and if I should be forced to return the money that had already been paid to me, about $20 000!) or
simply let the Appeal Court Judges who have the judicial immunity steal me for them my judgment and the money they had already paid me! This was extremely dishonest of course because the trial was obviously linked to the criminal trial against the president and his wife - again who had started getting paid for no work at the time I had been unfairly dismissed, and they knew that I was an obvious victim. [Moreover, the motivation to sue is critical in justice, this is why the responsibility to decide if the administration must sue is given only to the administration highest political figure or board. Here they should never have appealed the decision because they did not have the necessary motivation to do so (the administration president did not assume his responsibility properly)]. The Appeal Court took advantage of their dishonesty and cancelled the hearing that had already taken place on February 10 2000 to accept this unfair authorization to appeal, and eventually rendered a very unfair decision as we will see below. With the judicial immunity, judges can act as stupid as they want and not be responsible for anything, and they use it of course to hurt, rob and cheat people (like criminals who break your safe, rob you $60 000, and burn your house while leaving).
[As a parenthesis, I would like to say that the Appeal Court knew that I had told the truth when I had explained that I had been threatened to have problems for the rest of my life if I did not accept my dismissal without a compensation (the Human Resources Director who fired me had told me also that I should be happy with my dismissal because usually they invented a grave wrongdoing to fire someone so that the fired employee cannot receive the unemployment benefits! I had explained this to the Court as well) because on the hearing day 2-10-00, it scheduled a very similar case just before mine. The case of a man who had been fired and threatened by his administration at about the same time 93-94, unlike me he had filed a lawsuit immediately, had won his case and had been reintegrated in the administration (he had gotten his old job back), but few months later he had been fired for grave wrongdoings, and had been forced to file another complaint and he was still fighting in appeal to try to obtain justice (in 2000). In my case, I waited, but had brought to the Court many proofs that the administration and its president were very dishonest; and I had sued only after I had no other choice. My motivations to sue were good, but the administration did not like the fact that it was ‘cornered’, and it wanted to cover up some of its wrongdoings, and to prevent me from continuing to work on my computer project, so it cheated!]
The Obligation to Have a Lawyer and the Unfair Legal Aid System Issues. This issue of the obligation to have lawyer in front of the administrative Appeal Court and Conseil d’Etat was used to dismiss the case, so I must address it in detail. I could not afford a lawyer, of course, especially after the administration had refused to pay me the judgment in full; so I asked for the jurisdictional help, was granted a 55% aid (what ever this means, I never could find out)
(38.), and was referred to a lawyer. I met him, explained him the case, described the various political persecutions I was victim of at the same time (surveillance, harassment, errors from the administration on my benefits…), asked him what was the meaning of the 55% aid (how many hours were paid for, what kind of service were paid for, etc.), and asked him if he could help me with his expertise on the legal issues of the case mainly [lawyer are paid very little through the jurisdictional help, so I did not want him to spent time inappropriately on making photocopies and writing papers without paying attention to the legal issues or on legal research]. I offered him to make the photocopies, to write part of the pleadings and to deliver the papers to the courts myself to optimize the aid I was given (and also to limit the possibility of wrongdoings by the lawyer and to avoid having to fight with my own lawyer).
This lawyer was not interested at all in helping me, he could not explain what was the meaning of the 55% aid, he wanted only to be in contact with the court, so that I be even more dependable on him, and he lied about the documents the court had sent him already and about what the court had told him (without my permission, the court had already sent him the documents of the case, before we even had reached an agreement on how to proceed). The lawyer association that referred me to him could not either explain what was the meaning of the 55% help (how many hour were paid for, what kind of service were paid for, etc.). In this context and the context of the ‘very advertised’ political scandal I could not take the chance to have this lawyer or another one not chosen by me file dishonest documents and risk to have to file another lawsuit against my ‘own’ lawyer, and I had to revoke him and to explain to the Court that he refused to help me with the legal issues of the case, that he was only interested in being in contact with the court, and
that I could not even know what was the meaning of the 55% aid I was granted (I presented copies of the letters sent to the lawyer association that handles the aid). I also explained that the legal aid system was not fair because the Department paid a lawyer at full cost while my legal aid lawyer was paid very little, refused to give me advice on the legal issue and refused to let me hand in the documents of my case to the court!
After I received some money from the Department I did ask another lawyer for some help on the legal issues (and paid him), and I explained to the Court that I had paid a lawyer for help on some of the legal issues (the legal aid lawyer had refused to give me), but the court thought that it was not enough to cover the pretended requirement to be represented by a lawyer. It ignored my argument about the unfairness of the legal aid system (that violates the poor fundamental right), and
ignored also the argument concerning the type of appeal I was taking. I had explained to the Appeal Court that I was not appealing to criticize the first judgment (the judgment was fair, it was the way they interpreted it that was unfair), and that I was only appealing the judgment to ask for an additional compensation due to the recent ‘Cours des Comptes’ report, so that my appeal was simply the continuation of the first proceeding and therefore they were no need or no legal requirement to be represented by a lawyer [see letter to the court
(43.)]. The Appeal Court ignored these arguments and wrote in its judgment that
I was not represented by a lawyer and was asking the Appeal Court to change the judgment without even addressing before the issue of the meaning of the judgment! (as seen below) The Appeal Court was very unfair, did cover the wrongdoings of the administration, and did hurt me tremendously.
[As a parenthesis again, every one knows that the legal aid system is unfair in France since the lawyers regularly go in the street to protest about the unfair remuneration system of the legal aid. What they don’t complain about is the fact that there are obligations to be represented by a lawyer in certain proceedings or that lawyer hour rates ($200 to $500 an hour) outside the legal aid are outrageous! This is why very little progress is made in this area probably. One chance to have the system change is to have a victim of the system, a poor, denounce it at the ECHR, and have France be sentenced, but this is difficult of course, see my explanation in my letter sent to the UN on 11-29-05. ]
The Appeal Court’s Decision Reversing the First Judgment and The Conseil d’Etat Proceeding. It was obvious that the Appeal Court would render a dishonest judgment (not in my favor) and wanted only to cover up the administration wrongdoings and its former President frauds (and to make me the victim pay for their frauds) after:
(1) the Court had accepted the Department authorization to appeal after it had canceled the hearing that had already taken place,
(2) the Presiding judge had cheated on the meaning of the judgment (on the length of my work contract), and after the Court had refused to judge the compliance proceeding first to establish the judgment’s meaning first,
(3) the Appeal Court had ignored my arguments on the obligation to present a lawyer, the unfairness of the legal aid system, and the nature of the appeal that did not require a lawyer.
The Appeal Court rendered a long judgment (filled with lies)
[(21),
(p2),
(p3),
(p4),
(p5),
(p6),
(p7),
(p8),
(p9),
(p10),
(p11),
(p12),
(p13),
(p14),
(p15)], explaining:
(a) that I was not represented by lawyer despite their warning (they did not accept the bill from the lawyer I had contacted as a sufficient effort to be represented by a lawyer or my arguments about the type of appeal!),
(b) that I was asking them to change the judgment (which was not true, I was not criticizing the judgment, I was just asking for more money due to the new report on the grave frauds and the delay to comply with the decision that created me a greater prejudice).
(c) that the complaint was not timely by 17 days! (they ignored the criminal proceeding going on at the same time, the ‘exception d’illegalite’,)
It reversed the first judgment and made me owe the administration the money it had already paid me (about $20 000) although I was the first victim of the grave frauds that were still being judged at the criminal court! (And although I was not responsible for the administrative court
pretended error either – they were again punishing me for an error of the administration, this time for a
pretended error of the administrative court!)
How could they pretend that I wanted to change the judgment before even settling first the issue of the meaning of the judgment(!)? How could they pretend that my complaint was not timely when grave related criminal frauds were judged at the same time, and when the Court of Accounts had just sentenced the Department(!)? They ignored of course that I had made a difficult work for the international community and presented it in a European program; and that this serious unemployment project was supported by many experts around the world. The Department never tried to argue that the prejudice I was asking was to high or that I had not done my unemployment work properly and this why I had stayed unemployed, they wanted to cheat only and cover up their wrongdoings by blaming not only an innocent man, but also a victim! [When you know that I have made my military service paid only $70 / month during a year to help the country, the cheating of the justice and the administration is even more unfair of course].
I filed a petition at the Conseil D’Etat [
Petition filed on 7-10-00,
(p2),
(p3),
(p4),
(p5),
(p6),
(p7),
(p8),
(p9),
(p10),
(p11),
(p12)], but it also required to have lawyer, and they ignored my arguments concerning the unfairness of the rule and of the legal aid system to dismiss my appeal also - [see
(47.),
(p2),
(p3),
(p4),
(p5)]! Dishonest judges can make the law say anything they want and can commit grave crimes while pretending that this is justice. There is no doubt that I was the first victim of the frauds and that I deserved a compensation instead of being punished as badly as the former President who had committed the frauds [he was sent one year in jail for repeated frauds that costed 100s of millions francs to the administration in July 2001, and
at the same time the housing administration pretended it had made mistake on my housing aid to send me in the street also and to make me owe another $2000 to the administration (and I was victim of other forms of persecutions too), so I decided to go seek asylum in Switzerland). The Government and the administration had the possibility to prevent the errors of the justice or the possibility to correct them once they had taken place because I did file a complaint at the European Court, and of course I had written to Mr. Chirac, to the Justice Minister and talked about it to International Organizations and G8 Leaders as you could see in the Proposals page, but they did not. I will comment later the political reasons that may have motivated their behavior.
The page Lawsuit EC will describe into more detail the rights violations and explained why the legal aid system and the obligation to be represented by a lawyer violate the poor fundamental rights, but as you perhaps already know from reading the Proposals page letters I did not justice there either.